摘 要:介绍一种基于DSP和单片机的新型 电能质量监测装置,该装置可完成国标规定的电能质量指标的测量,并有数据显示、存储、 通信和简单录波等功能。装置软件采用模块化思想设计,便于调试与修改。
关键词:电能质量;DSP;单片机;双CPU;监测
摘 要:介绍一种基于DSP和单片机的新型 电能质量监测装置,该装置可完成国标规定的电能质量指标的测量,并有数据显示、存储、 通信和简单录波等功能。装置软件采用模块化思想设计,便于调试与修改。
关键词:电能质量;DSP;单片机;双CPU;监测
Development of Surveillance Equipment on Power Quality
Based on DSP and MCU
YU Dan, WANG Qing, LI Xiaomin
(School of Electrical Enginnering, Wuhan University, Wuhan 430072, Ch ina)
Abstract: This paper designs a surveillance equipment on power q uality by double CPU technology which can accomplish the measure of power qualit y index stipulated by national standard and have some other functions such as da ta showing, data saving, communicating, simple wave recording etc. The design of software is modularized so that the program can debug and modify easily.
Keywords: power quality; DSP; MCU; double CPU; surveillance
1系统的硬件设计
监测终端根据除《暂时过电压和瞬时过电压》之外的五个电能质量国家标准设计。装置主要 由DSP系统、单片机系统、模数转换电路、GPS接受模块、滤波电路、电压整形电路、通信电 路等部分组成,结构框图如图1。本文主要介绍DSP系统和单片机系统部分。

1.1DSP系统的设计
本装置采用DSP TMS320LF2407作为运算核心。它内部有16K*16位的FLASH EEPROM,无须外接 程 序存储器。但其内部只有544字的RAM,远不能满足系统数据存储要求;并且DSP在仿 真时需要将程序下载到外部RAM中运行,所以外接了两片32K*8位的RAM(IS61C256)。LF2407 是16位总线,所以两片IS61C256共用一个片选信号,一片作为高字节存储器,一片作为低字 节存储器被F2407同时访问。另外,接在数据总线上的还有两片A/D转换器(ADS8364)和2K*8 位的双口RAM(IDT7132)。
1.2模数转换模块的设计
装置中选用了两片ADS8364芯片。它们是16位的数据采集系统,单个ADS8364芯片内集成了6 个独立的带采样保持的ADC,提供6个独立的差分输入口,每两个通道共用一个转换触发信号 ,三个转换信号同时触发可实现6通道同步采样,最高采样频率为250kHz。ADS8364内部集成 6*16bit数据缓冲寄存器,通过向A0、A1、A2写控制字可选择直接寻址模式、循环读数、FIF O三种方式读取单次模数转换的数据。我们采用控制逻辑最简单的FIFO方式,即让A0、A1、A 2直接接高电平,同时,让所有的转换信号共用一个同步脉冲启动信号,这样12个通道同时 工作,等所有通道都发出转换完毕中断低电平后,DSP可按逻辑分别从FIFO中读取转换数据 。单块该芯片和DSP的电气接线如图2所示。
本装置采用DSP TMS320LF2407作为运算核心。它内部有16K*16位的FLASH EEPROM,无须外接 程 序存储器。但其内部只有544字的RAM,远不能满足系统数据存储要求;并且DSP在仿 真时需要将程序下载到外部RAM中运行,所以外接了两片32K*8位的RAM(IS61C256)。LF2407 是16位总线,所以两片IS61C256共用一个片选信号,一片作为高字节存储器,一片作为低字 节存储器被F2407同时访问。另外,接在数据总线上的还有两片A/D转换器(ADS8364)和2K*8 位的双口RAM(IDT7132)。
1.2模数转换模块的设计
装置中选用了两片ADS8364芯片。它们是16位的数据采集系统,单个ADS8364芯片内集成了6 个独立的带采样保持的ADC,提供6个独立的差分输入口,每两个通道共用一个转换触发信号 ,三个转换信号同时触发可实现6通道同步采样,最高采样频率为250kHz。ADS8364内部集成 6*16bit数据缓冲寄存器,通过向A0、A1、A2写控制字可选择直接寻址模式、循环读数、FIF O三种方式读取单次模数转换的数据。我们采用控制逻辑最简单的FIFO方式,即让A0、A1、A 2直接接高电平,同时,让所有的转换信号共用一个同步脉冲启动信号,这样12个通道同时 工作,等所有通道都发出转换完毕中断低电平后,DSP可按逻辑分别从FIFO中读取转换数据 。单块该芯片和DSP的电气接线如图2所示。

1.3单片机模块的设计
单片机采用80C196KC,系统包括复位电路、晶振、存储器及译码电路、液晶模块和按键等, 主要用于设定参数,显示电能质量监测结果和人机对话。
1.4双CPU的工作协调途径
本模块中的双CPU工作协调主要有数据共享和复位协调两方面。
系统采用双口RAM来实现双CPU的数据共享。双口RAM IDT7132是一种具有两个可以独立读/写 端口的静态RAM。IDT7132两侧的CPU可独立分时访问存储器中任意单元。当出现左右CPU同时 访问同一存储单元时,将产生竞争,此时由片内的仲裁逻辑功能确定由哪一侧的CPU来访 问该单元,并同时通过
引脚的变低来延缓另侧CPU对该存储单元的访问;当 准许访问该单元的CPU完成操作后,延缓侧的
线变高,该侧的CPU即可操作 该单元。将IDT7132的仲裁控制功能和80C196KC、F2407的等待功能结合即可实现对竞争问题 的解决:将IDT7132两侧的
脚与单片机和DSP的
脚连接;当出现竞争时 ,被延缓侧的CPU受BUSY影响进入等待状态,直到
变高。
双CPU除信息共享外,还须相互保持工作状态的联系。这里单片机未使用看门狗电路,所以 将F2407的
脚接单片机的复位脚,使DSP可控制单片机复位;而单片机则通过 双口RAM向DSP发工作状况信号,保证双CPU之间的复位联系。下表为IDT7132存储空间分配表 。
单片机采用80C196KC,系统包括复位电路、晶振、存储器及译码电路、液晶模块和按键等, 主要用于设定参数,显示电能质量监测结果和人机对话。
1.4双CPU的工作协调途径
本模块中的双CPU工作协调主要有数据共享和复位协调两方面。
系统采用双口RAM来实现双CPU的数据共享。双口RAM IDT7132是一种具有两个可以独立读/写 端口的静态RAM。IDT7132两侧的CPU可独立分时访问存储器中任意单元。当出现左右CPU同时 访问同一存储单元时,将产生竞争,此时由片内的仲裁逻辑功能确定由哪一侧的CPU来访 问该单元,并同时通过
引脚的变低来延缓另侧CPU对该存储单元的访问;当 准许访问该单元的CPU完成操作后,延缓侧的
线变高,该侧的CPU即可操作 该单元。将IDT7132的仲裁控制功能和80C196KC、F2407的等待功能结合即可实现对竞争问题 的解决:将IDT7132两侧的
脚与单片机和DSP的
脚连接;当出现竞争时 ,被延缓侧的CPU受BUSY影响进入等待状态,直到
变高。双CPU除信息共享外,还须相互保持工作状态的联系。这里单片机未使用看门狗电路,所以 将F2407的
脚接单片机的复位脚,使DSP可控制单片机复位;而单片机则通过 双口RAM向DSP发工作状况信号,保证双CPU之间的复位联系。下表为IDT7132存储空间分配表 。
2系统的软件功能及任务分配
本装置的主要任务是对电能质量指标进行在线测量、数据分析、数据显示及数据通信等。由 于装置需要对大量的数据进行运算,所以TMS320LF2407软件采用汇编语言设计,提高装置的 实时性;而80C196的软件采用C51设计,以便于人机界面的开发和升级。
2.1TMS320LF2407主程序设计
TMS320LF2407根据双口RAM中的标志字来执行任务,主程序流程如图3,主要包括以下几个方 面:
1)系统初始化:若系统为上电复位,则进行系统初始化:设置片内锁相环、看门狗 、中断及必要的控制寄存器和清除各标志寄存器等;若系统为非上电复位则直接进入运行状 态。
2)参数设置:系统初始化后循环读双口RAM中的参数设置区,根据标志字节将参数 读入或默认设置。
3)系统运行:设置完毕后DSP循环读双口RAM中的启动标志字,若允许则开中断、启 动片内外设,执行程序主体循环。主体是对采样数据处理的过程,将在下面介绍;在主体循 环的过程中还要判断双口RAM中的设置标志字,若有效则停止运行转入设置状态。
2.2TMS320LF240功能子程序设计
2.2.1事件管理模块(EV)操作
1)定时器3比较(T3CMP)操作:定时器3比较操作用来产生同步采样信号。定时器3工 作于连续增记数模式,比较操作高有效,这样,当周期匹配时T3CMP脚产生下降沿使AD启动 准备;比较匹配时T3CMP脚产生上升沿启动AD。定时器3的周期寄存器由捕获1操作计算 出的信号周期值128分频得到。
2)捕获1(CAP1)操作:捕获1操作用来对周期的测量并计算出采样周期来赋给定时器 3的周期寄存器。CAP1设置为以定时器2为基准、下降沿触发,电压整形电路产生的方波产生 捕获1中断(CAP1INT),在中断程序中利用两次测量的定时器2记数值来计算周期。将周期值1 28分频后赋给定时器3周期寄存器。捕获1操作产生中断,且优先级设置为最高。
2.2.2数据处理模块
本模块是主程序的核心,当采样点达到64时,进行三相电压的半波有效值计算和进行越限判 断;将越限时的有效值、波形及当前时间发送到双口RAM中;连续越限时不再记录 直到越限恢复,越限恢复时记录越限持续时间、恢复时的幅值、波形和当前时间。
当采样 点数达到128时,计算一次稳态电能质量指标:包括电压电流有效值计算、功率参数 计算、频率计算、FFT运算及实虚序列分离、三相不平衡度等等,并将计算结果暂存;当计 算的次数达到所设定的次数时,将前若干次的计算值进行一次平均,并进行标度变换等处理后,将处理结果及当前时间送双口RAM。
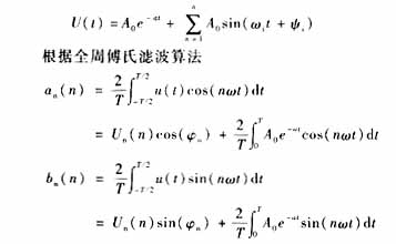
在电能质量下降时,装置采集的电压或电流波形由于混有衰减的直流分量和复杂的谐波成分 而产生严重的畸变。在提取特征谐波分量时常用的傅氏算法中,衰减非周期分量在时域内被 拓广为周期分量,对结果造成较大偏差。为抑制衰减非周期分量的影响,我们采用了递推式 傅立叶算法来消除直流分量。
设输入为:

本装置的主要任务是对电能质量指标进行在线测量、数据分析、数据显示及数据通信等。由 于装置需要对大量的数据进行运算,所以TMS320LF2407软件采用汇编语言设计,提高装置的 实时性;而80C196的软件采用C51设计,以便于人机界面的开发和升级。
2.1TMS320LF2407主程序设计
TMS320LF2407根据双口RAM中的标志字来执行任务,主程序流程如图3,主要包括以下几个方 面:
1)系统初始化:若系统为上电复位,则进行系统初始化:设置片内锁相环、看门狗 、中断及必要的控制寄存器和清除各标志寄存器等;若系统为非上电复位则直接进入运行状 态。
2)参数设置:系统初始化后循环读双口RAM中的参数设置区,根据标志字节将参数 读入或默认设置。
3)系统运行:设置完毕后DSP循环读双口RAM中的启动标志字,若允许则开中断、启 动片内外设,执行程序主体循环。主体是对采样数据处理的过程,将在下面介绍;在主体循 环的过程中还要判断双口RAM中的设置标志字,若有效则停止运行转入设置状态。
2.2TMS320LF240功能子程序设计
2.2.1事件管理模块(EV)操作
1)定时器3比较(T3CMP)操作:定时器3比较操作用来产生同步采样信号。定时器3工 作于连续增记数模式,比较操作高有效,这样,当周期匹配时T3CMP脚产生下降沿使AD启动 准备;比较匹配时T3CMP脚产生上升沿启动AD。定时器3的周期寄存器由捕获1操作计算 出的信号周期值128分频得到。
2)捕获1(CAP1)操作:捕获1操作用来对周期的测量并计算出采样周期来赋给定时器 3的周期寄存器。CAP1设置为以定时器2为基准、下降沿触发,电压整形电路产生的方波产生 捕获1中断(CAP1INT),在中断程序中利用两次测量的定时器2记数值来计算周期。将周期值1 28分频后赋给定时器3周期寄存器。捕获1操作产生中断,且优先级设置为最高。
2.2.2数据处理模块
本模块是主程序的核心,当采样点达到64时,进行三相电压的半波有效值计算和进行越限判 断;将越限时的有效值、波形及当前时间发送到双口RAM中;连续越限时不再记录 直到越限恢复,越限恢复时记录越限持续时间、恢复时的幅值、波形和当前时间。
当采样 点数达到128时,计算一次稳态电能质量指标:包括电压电流有效值计算、功率参数 计算、频率计算、FFT运算及实虚序列分离、三相不平衡度等等,并将计算结果暂存;当计 算的次数达到所设定的次数时,将前若干次的计算值进行一次平均,并进行标度变换等处理后,将处理结果及当前时间送双口RAM。
在电能质量下降时,装置采集的电压或电流波形由于混有衰减的直流分量和复杂的谐波成分 而产生严重的畸变。在提取特征谐波分量时常用的傅氏算法中,衰减非周期分量在时域内被 拓广为周期分量,对结果造成较大偏差。为抑制衰减非周期分量的影响,我们采用了递推式 傅立叶算法来消除直流分量。
设输入为:

联立这几个表达式解方程组,若未知数多于表达式,再后推一个数据窗ΔT,该算法的流程 图如图4。
2.380C196KC程序设计
80C196KC程序由参数设置模块、键盘响应模块、数据显示模块、数据统计模块、越限报警模 块、数据存储模块、通信模块等组成。
单片机主程序的主体也需要通过双口RAM和DSP协调工作。系统初始化完毕后,接受键盘或通 信的设置,将参数写入双口RAM;程序主体是循环查询过程,查询由DSP发送至双口RAM数 据缓冲区的标志,并作出处理。在循环的过程中,单片机还要响应键盘和通信命令。
2.380C196KC程序设计
80C196KC程序由参数设置模块、键盘响应模块、数据显示模块、数据统计模块、越限报警模 块、数据存储模块、通信模块等组成。
单片机主程序的主体也需要通过双口RAM和DSP协调工作。系统初始化完毕后,接受键盘或通 信的设置,将参数写入双口RAM;程序主体是循环查询过程,查询由DSP发送至双口RAM数 据缓冲区的标志,并作出处理。在循环的过程中,单片机还要响应键盘和通信命令。
单片机通过双口RAM向DSP写参数值或设置值(在程序初始化部分进行);DSP通过双口RAM向单 片机传送分析数据及波形数据(在程序正常运行中进行),两种操作分时进行。为最大限度利 用空间,初始设置完毕后将参数设置区释放。
3结束语
电能质量监测装置已经调试通过,并成功地在大型水利发电机组的二次设备中获得应用。利 用80C196KC配合TMS320LF2407 DSP实现的实时信号处理能力,完全满足当代电力系统高端的 电能质量监测和谐波分析的需要,具有广阔的应用前景。
电能质量监测装置已经调试通过,并成功地在大型水利发电机组的二次设备中获得应用。利 用80C196KC配合TMS320LF2407 DSP实现的实时信号处理能力,完全满足当代电力系统高端的 电能质量监测和谐波分析的需要,具有广阔的应用前景。
参考文献
[1]朱桂萍,等.电能质量控制技术综述[J].电力系统自动化,2002,(10).
[2]肖雁鸿,等.FFT应用于谐波测量中频谱泄漏的分析与处理[J].电工技术杂 志,2001,(2).
[2]肖雁鸿,等.FFT应用于谐波测量中频谱泄漏的分析与处理[J].电工技术杂 志,2001,(2).
