避雷针保护范围的计算方法
卢伟辉1,黄旭丹2
(1.广东粤华发电有限责任公司,广东 广州 510731;
2.广东电力设计研究院 广东 广州 510600)
摘 要:常用避雷针(这里仅指单针)保护范围的计算方法主要有折线法和滚球法,为此,就“折线法”和“滚球法”的计算进行了初步的分析和探讨,得出:“折线法”的主要特点是设计直观,计算简便,节省投资,但建筑物高度大于20 m以上不适用;“滚球法”的主要特点是可以计算避雷针(带)与网格组合时的保护范围,但计算相对复杂,投资成本相对大。
关键词:避雷针;折线法;滚球法;保护范围
Calculation methods of lightning conductor protective range
LU Weihui,UANG Xudan2
(1.Guangdong Yuehua Power Co.,Ltd.,Guangzhou 510731,China;
2.Guangdong Electric PowerDesign Institute,Guangzhou 510600,China)
Abstract:he common calculation methods of lightning rod (single rod only)protective range are the“polygon method” and the“rollingball method”. his paper makes a primary discussion on these two methods,drawing a conclusion that the “polygon method” is of intuitionistic design,simple computation,economic costs,but it is inapplicable to buildings higher than 20 m; the “rollingball method” can figure out the protective range of a lightning rod combined with gridding,yet the computation is more complicated and the investment is higher.
Keywords:polygon method; rollingball method; lightning rod; protective range
在避雷针保护范围的计算方法中,“折线法”是比较成熟的方法。近几年来,国标中规定的“滚球法”也开始得到同行的认同,但在实际运用中,“滚球法”也碰到一些问题,特别是在计算天面避雷针保护范围的时候。因此有必要对电力系统常用的“折线法”和国标的“滚球法”进行比较分析,发现其中存在的问题。
1“折线法”避雷保护计算
“折线法”在电力系统又称“规程法”,即单支避雷针的保护范围是一个以避雷针为轴的折线圆锥体。L/ 620—997《交流电气装置的过电压保护和绝缘配合》标准就规定了单支避雷针的保护范围,见图。

1.1避雷针在地面上保护半径的计算
计算避雷针在地面上的保护半径可用公式
式中:Rp——保护半径;
h——避雷针的高度;
P——高度影响因数。
其中,P的取值是:当h≤30 m,P=1;当30 m

的h的纯数值;当h>20 m时,只能取h=120 m。
1.2被保护物高度hp水平面上保护半径的计算
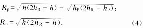
a)当hp≥0.5h时,被保护物高度hp水平面上的保护半径
式中:Rp——避雷针在hp水平面上的保护半径;
hp——被保护物的高度;
ha——避雷针的有效高度。
b)当hp<0.5h时,被保护物高度hp水平面上的保护半径
2“滚球法”避雷保护计算
“滚球法”是国际电工委员会(IEC)推荐的接闪器保护范围计算方法之一。我国建筑防雷规范G 50057—994(2000年版)也把“滚球法”强制作为计算避雷针保护范围的方法。滚球法是以hR为半径的一个球体沿需要防止击雷的部位滚动,当球体只触及接闪器(包括被用作接闪器的金属物)或只触及接闪器和地面(包括与大地接触并能承受雷击的金属物),而不触及需要保护的部位时,则该部分就得到接闪器的保护。滚球法确定接闪器保护范围应符合规范规定,见表。
应用滚球法,避雷针在地面上的保护半径的计算可见以下方法及图2。
a)避雷针高度h≤hR时的计算
距地面hR处作条平行于地面的平行线。以针尖为圆心、hR为半径作弧线交于平行线A,两点。以A,为圆心,hR为半径作弧线,该弧线与针尖相交并与地面相切,这样,从弧线起到地面就是保护范围。保护范围是一个对称的锥体。避雷针在hP高度的xx'平面上和在地面上的保护半径,按公式[2](4)计算确定
式中:
hR——滚球半径,按表确定;
hp——被保护物的高度;
R0——避雷针在地面上的保护半径。
b)当避雷针高度h>hR时的计算
在避雷针上取高度hp的一点代替单支避雷针针尖并作为圆心,亦可见图2。
3“滚球法”计算天面避雷针保护范围存在的问题
3.1存在问题
用“滚球法”计算避雷针在地面上的保护,保护范围可以很好地得到确认,但用“滚球法”计算天面避雷针保护范围时却存在较大的误差。“滚球法”是以避雷针和被保护物所在平面为一无限延伸的平面作为前提的,当被保护物位于屋顶天面时,天面不是一个无限延伸的平面,况且,当滚球同时与避雷针尖和天面避雷带接触时,滚球和天面之间不存在确定的相切关系。因此《建筑物防雷设计规范》中给出的计算公式将不能直接运用。
在这种情况下,我们怎样计算其保护范围呢?由于天面不可延伸且形状不规则,因此,根据滚球法计算保护范围的原理,当避雷针位置确定后,滚球在以避雷针尖作为一个支点,以避雷带上任一点作为另一支点滚动时,它在一定高度的保护范围也将是一个不规则的图形。从理论上讲,要想知道被保护物体能否得到全面保护,我们需要计算出以避雷针尖为一个滚球支点,以避雷带上的所有点作为另一个滚球支点时,用避雷针在一定高度的所有保护半径来确定被保护物体能否完全得到保护。这种计算方法在实际应用中有一定的偏差。因此,我们需要寻找一种简便的方法来计算被保护物体能否得到避雷针的完全保护。
从滚球法计算保护范围的原理中,我们可以得出如下推论:
a)以避雷针的顶点为一个支点,另一个支点距避雷针基点的垂直距离越近时,其在一定高度的保护半径越小,反之,另一个支点距避雷针的基点垂直的距离越远(不能超过滚球半径)时,其在一定高度的保护半径越大。
b)当被保护物体最高点垂直于避雷针的平面上,计算出的保护半径大于被保护物体上最远点距避雷针的垂直距离时,该被保护物体可得到避雷针的全面保护。
根据以上推论,我们只要计算出避雷带上距避雷针基点最近(指以避雷针基点作为起点,经被保护物体在天面上的正投影与避雷带上各点连线中的最短距离)的点作为支点时,一定高度的保护距离,即可判断出该物体能否得到全面保护(当计算出的保护距离大于该被保护物体到避雷针的垂直距离的最大值时,被保护物体得到全面保护,反之,则相反)。
3.2举例说明
假设天面有一物体,物体的高度为3 m,其最远点距避雷针基点的垂直距离为7 m,避雷带上距避雷针基点最近的点(该支点与避雷针基点的连线经过被保护物体在天面的正投影)距避雷针的垂直距离为5 m。避雷针设多高才能对该物体进行全面保护?
根据以上条件,假设避雷针的基点为O点,被保护物体上距避雷针的最远点设为A点,滚球的另一个支点为点,依据滚球法的原理,可作图3。
a)分别以A,两点为圆心,以hR为半径划圆弧,则圆弧相交于E点,E点即为滚球的圆心。
b)以E点为圆心,以hR为半径划圆,则该圆一定经过A,两点且与避雷针相交于C点(当E点距避雷针的垂直距离大于hR时,无交点),OC即为所求避雷针的高度。
c)经过滚球中心点E点作垂直于O的直线,与O的延长线相交于F点。连接EA,EB,EC,则线段EA,EB,EC相等且等于滚球半径。经A,C两点作垂直于EF的直线,与EF相交于I,H两点。
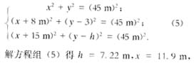
d)设F=x,EF=y,避雷针高度OC=h,滚球半径取45m,则可得方程组

y=43.95 m。
避雷针的高度应取一定的裕量,所以取高度为7.5m,可对物体进行全面保护。如果用G50057—994标准给出的滚球法计算公式进行计算,所得结果为h= 6.4m,被保护对象可能得不到全面保护,存在一定雷电绕击概率。
4实例比较
下面以发电厂一些常见建筑物的保护面积来比较两种计算方法(由于电厂的建筑物多数属于第三类防雷建筑物,所以滚球半径按第三类防雷建筑物选择,即hR=60 m)。
某电厂油区有两种规格的油罐,油罐保护高度hP分别为8 m和25 m,都设置了同样高度的避雷针,避雷针高度h=40 m,油罐保护半径分别以折线法和滚球法进行计算。
4.1折线法

根据公式(1),油罐保护高度8m的地面保护半径等于油罐保护高度25 m的地面保护半径,R=5hP=52.2 m。这是因为保护高度hP=8 m<0.5h=20 m,而保护高度hP=25 m>0.5h=20 m。油罐保护高度8 m水平面上的保护半径Rp=(1.5h-2hp)P=20.88 m。油罐保护高度25 m水平面上的保护半径Rp=(h-hp)P= 13.05 m。
4.2滚球法
因为避雷针高度h=40 m,滚球半径hR= 60m,h<hR,根据公式[2](4),油罐保护高度8 m的地面保护半径等于油罐保护高度25 m的地面保护
对比以上数据,可以看出,在相同的条件下(滚球半径按第三类防雷建筑物选),用“滚球法”计算出来的建筑物高度水平面的保护半径(13.72 m和7.84 m)要比 “折线法”计算出来的保护半径(20.88 m和13.05 m)要小,换言之,要达到相同的保护半径,用“滚球法”计算出的避雷针高度要比“折线法”计算出来的高度要高,可见“滚球法”要比“折线法”对独立避雷针的要求略高一些。只有第三类防雷建筑物的高度低于20 m时,“滚球法”算出的避雷针保护范围才与“折线法”算出的保护范围相似。
5结论
综上所述,可以得出以下几点结论:
a)“折线法”的主要特点是设计直观、计算简便、节省投资,但只适用于20 m以下的避雷高度,不能计算高度20 m以上建筑物的保护范围,而且计算结果与雷电流大小无关。
b)“滚球法”的主要特点是可以计算避雷针(带)与网格组合时的保护范围。凡安装在建筑物上的避雷针、避雷线(带),不管建筑物的高度如何,都可采用滚球法来确定保护范围,并且保护范围与雷电流大小有关,但独立避雷针、避雷线受相应的滚球半径限制(60 m),其高度和计算相对复杂,比 “折线法”要增大投资。
c)天面避雷针保护范围的计算必须具体情况具体分析,用滚球法的原理设计出不同的避雷针组合,对天面上的重要设施进行保护。
由于对大气电学特别是闪电规律的认识,现在还处在很不成熟的阶段,主要原因之一是由于闪电现象的随机性,而且大气现象还与地理位置,地貌等有关。所以无论在国内还是在国外,对防雷技术的看法还有很多意见。目前电力系统的电气设备直击雷防护都是根据现行行业标准设计的,而按照现行行业标准进行的电力设备直击雷防护设计,从949年至今已经历了半个多世纪的安全运行经验的考验,没有出现重大问题。在对建筑物防雷设计国标送审稿审查时,电力系统过电压方面的专家已经指出,电力设备不同一般建筑物,因此该国标不一定适用于电力系统中电力设备的直击雷防护。但 “滚球法”对于结构复杂的高层建筑保护有很大的优势,了解规程中“折线法”和“滚球法”的各自特点,具体工程具体分析,才能制订出一套安全经济的保护方案。
参考文献
[1]G 50057—994,建筑物防雷设计规范(2000年版附录4)[S].
[2]戴瑜兴.民用建筑电气设计手册[M].北京:中国建筑工业出版社,2003.
