访问电脑版页面

导航:老古开发网手机版其他

一种轨至轨输入的低压低功耗运放的设计

导读:
关键字:

引言

   电源电压逐步下降,晶体管的阈值电压并没有减小,但是运放的共模输入范围越来越小,这使设计出符合低压低功耗要求,输入动态幅度达到全摆幅的运放成为一种必须。本文所设计的具有轨至轨(R-R)输入功能的低压低功耗CMOS运算放大电路,在各种共模输入电平下有着几乎恒定的跨导,使频率补偿更容易实现,适合应用于VLSI库单元及其相关技术领域。


理论模型

基本的轨至轨输入结构

   在较低的电源电压下,运算放大器的输 入级设计是非常重要的。传统的PMOS差动输入级的共模输入电压范围 VCM可表示为:

  (1)

  式中,VSS为负电源电压, VCM为共模输入电压,VDsat为源漏饱和压降,VGSPPMOS的栅源电压。同理,NMOS差动输入级的共模输入电压范围可表示为:

  (2)

  式中,VGSNNMOS的栅源电压。如果将PMOSNMOS差分对互补连接使用,就可以使运放的输入共模范围变为:

   (3)

从而实现了轨至轨的共模输入。图1为轨至轨输入结构的电路示意图。

 
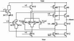
    图1 基本轨至轨输入电路   图2 低压低功耗运算放大器电路


跨导恒定结构

   图1所示的轨至轨输入级电路采用互补折叠式结构,使共模输入电压可以在整个从地到电源电压的范围内工作,如果输入级工作在饱和区,电路的跨导由下面的公式确定:


或者

    (4)

  式中mnmp分别代表NMOSPMOS的迁移率。从上面的公式可以看出,输入级的跨导会随栅源电压和便置电流的变化而变化。因此,当共模输入电平从VDDVSS变 化时,轨至轨输入差分对的跨导从PMOS差分对的跨导变化到PMOS +NMOS差分对的跨导之和,再变化到NMOS差分对的跨导。中间部分跨导gm几乎是其它部分的一倍,这种跨导的变化会使运放的增益误差发生变化,从而使频率特性变差,因此,需要设计一种电路,使轨至轨输入电路具有恒定的跨导。


   目前,可保证R-R输入级的g
m恒定不变的设计方法主要有以下几种:1. 采用双极(BJT)线性互补差分对形式的输入级。 2. 由齐纳二极管将PN差分对的偏置电流连起来实现。 3. 采用冗余的差分对来实现。4. 用电流镜技术,使偏置电流的大小随输入共模电压的变化而变化。

上述第4种方法的电路不仅结构简单,而且对gm的控制也易于实现。因此,本文运用了对输入跨导的控制原理,采用了一种 全新的保持R-R输入级gm为常数的电路结构。

 

电路设计

   本文所设计的电路如图2所示,该电路由输入互补差分对、恒定gm电路、共源共栅求和电路组成。M1~M4构成了输入互补差分对。当低共模输入时,P输入差分对M1M4处于工作状态,N输入差分对M2M3截止,开关管M17 M18开启,抽取M16上的电流;M13M14截止。M15的电流全部流入P差分对,则此区间的等效差分跨导为:

    (5)


   当共模输入电压在中间值附近时, P差分对M
1M4N差分对M2M3均导通,控制开关M17M18M13M14开启,分别调节它们的栅电压,使其从M15M16均抽取3/4的电流,则此区间的等效差分跨导为:

   (6)


   当在高共模输入区时,N差分对M
2M3工作,P差分对M1M4截止。开关管M13M14开启,抽取M15上的电流,开关管M17M18截止,M16的电流全部流入N差分对,则此区间的等效差分跨导为:

     (7)


   从上面的分析可知,只要合理选择四个输入管子的长宽比,满足如下关系:

    (8)

gm就会保持恒定。  


   M
5~M12为共源共栅求和电路。这种结构的输出阻抗和电压增益比较高,并且有很好的频率特性和电源抑制比。经过分析可知,该电路结构在互补差分对交替工作的时候,当M1M4M2M3不能同时处于饱和状态时,引起求和电路M5~M12的静态电流发生变化,使电路的输出电阻和极点发生少许改变,从而可能会在过渡区出现大跨导尖峰,但是,由于这个过渡区很窄,估计这种大的尖峰不会出现,在整个共模范围内,输入跨导基本保持恒定。


图3 运放的跨导仿真结果

 

仿真结果

   本文采用TSMC公司的0.35mm工艺器件的HSpice参数模型进行仿真,得到下面的结果。图3是运放的总跨导,从图中可以看出,当共模输入电压从0V2V变化时,整个跨导在5%以内变化,跨导在中部的变化正如上面所述,是由于 差动对交替工作时,静态电流的变化所引起的。

 

结语

   本文所设计的运算放大器具有2V的电源电压,150mW的功耗和75°的相位裕度,在整个共模范围内,输入级的跨导基本保持恒定,提高了运放的性能指数。且结构简单,特别适合作为VLSI的库单元。

来源:电子设计应用   作者:贾政亚 张丽燕 黄云川  2006/8/3 0:00:00
栏目: [ ]

相关阅读

安森美推出新的高功率图腾柱PFC控制器,满足具挑战的能效标准

动态功耗低至60μA/MHz!助力设备超长续航,首选国民技术低功耗MCU!